Order online or call us: +86-153-0920-6328
Home
Home / News / What is dipeptide diaminobutyroyl benzylamide diacatate?

What is dipeptide diaminobutyroyl benzylamide diacatate?

Views: 153     Author: Site Editor     Publish Time: 2021-10-25      Origin: Site

Synthetic peptides have become an important part of the cosmetics industry. Due to demographic changes and an aging population who wish to maintain a young lifestyle and appearance, research in the cosmetics industry has focused on anti-aging skin treatments. Today, more than 25 peptides are used in anti-aging skin care products, and many more are in development.

dipeptide diaminobutyroyl benzylamide diacetate price-ZHENYIBIO

Peptides and proteins play an important role in cosmetic anti-aging and therapeutic applications, such as wound healing, reducing excessive scars, fibrosis, inflammation, and treating burns. With the emergence of new technologies and the development of new peptide drugs, we have begun to see skin regeneration, collagen and elastin synthesis, increased production of glycosaminoglycans, proteoglycans and fibronectin, and improved wound healing in the body. A sign of hope. Effective formulations and local drug delivery strategies are needed to overcome the stratum corneum barrier, and the number of sites that correctly release the active substance from the vehicle at the target is sufficient to play a role. Effective delivery methods can be used to enhance the skin delivery of peptides, including the use of elastic carriers, solid lipid-based drug delivery systems, microemulsions, and electrospun fibers.

Mechanism of snake tripeptide:

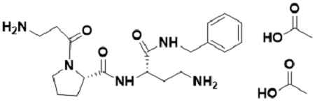
Dipeptide diaminobutyroyl benzylamide diacetate (Snake Venom Peptide) has the same effect as Temple Viper’s neuromuscular blockade compound Waglerin 1. It acts on the postsynaptic membrane and is a reversible antagonist of the muscle nicotinic acetylcholine receptor (mnAChR). In addition, it binds to the epsilon subunit of mnAChR and blocks the binding of acetylcholine to the receptor, which ultimately leads to receptor blockade. In the closed state, sodium ions cannot be absorbed and cannot be depolarized, thereby blocking nerve excitability transmission and relaxing the muscles. This is very important for the treatment of fine lines, because the facial areas associated with repetitive muscle movements are particularly prone to wrinkles. Today, clinical trials have shown that venom peptides have excellent properties of smoothing and quickly improving wrinkles, and can effectively reduce wrinkles by inhibiting muscle contraction.

Effect and application of SYN-AKE:

As we all know, the dipeptide diaminobutyrylbenzylamide diacetate (Snake Venom Peptide) is believed to hinder the body’s absorption of Na+, which leads to relaxation of facial muscles and prevents the formation of expression lines (wrinkles), especially on the forehead and Eye wrinkles. In addition, it can rejuvenate and smooth the skin. Therefore, it is mainly used in anti-aging products, specifically designed to provide a safer alternative to botulinum toxin. All in all, it can be added to cosmetics as an active ingredient to care for the skin, prevent facial fine lines and wrinkles, and improve skin quality.

Benefits of snake venom peptide(dipeptide diaminobutyroyl benzylamide diacetate):

1. Advanced wrinkle removal

2. Proven to activate, replenish and moisturize your skin, fighting against signs of aging, wrinkles and fine lines

3. All-in-one solution to make the tone smoother and more uniform

4. Helps reduce the visible effects of sun damage

5. A unified solution to make the skin firmer and timeless

6. Promote a flawless and beautiful appearance

7. Let the skin glow with youthful radiance

8. Nourish dryness

9. Optimize collagen production

10. Reduce the appearance of dark circles, rejuvenate and regenerate the skin